來源:韓研活性炭網 作者:韓研活性炭網 2017-09-07
活性炭對四氟乙烷在20℃至60℃的溫度范圍內的吸附特性,壓力可達10巴。吸附平衡模型適用于具有可接受誤差極限的實驗數據。還給出了該對的壓力-溫度-濃度(PTX)圖。 四氟乙烷對活性炭吸附的等離子體熱量已經使用方程作為吸附容量的函數計算出來。發現最大吸附容量為1。在1200s后,在20℃下92kg四氟乙烷/kg活性炭。實驗結果也表明,傳熱面積的增加提高了每公斤吸附劑的吸附能力,從而設計了一個翅片管式換熱器吸附裝置。
過去二十年來,吸附式制冷系統由于其在冷卻系統中利用氟氯烴和氟氯烴而引起的臭氧消耗的能力得到了相當大的關注。吸附劑/制冷對的熱物理性質以及操作條件對系統性能有重要影響。吸附冷卻和制冷系統具有緊湊,自由運動部件的多種優點,無毒無害環境,無需工作溫度低,并不需要合成潤滑。令人遺憾的是,吸收劑的制造商無法獲得吸收數據。只有吸附劑(活性炭)的表面積和孔體積的數據可用,這不足以設計熱驅動吸附系統。基于設計吸附的冷卻循環是不可避免的,可以評估各種活性炭/吸附物對的吸附等溫線以及吸附等溫吸熱。

以下是熱驅動吸附系統的一些代表性實例。測量了四氟乙烷對三種類型活性炭的吸附等溫線。估計活性炭/ 四氟乙烷對的吸附特性。設計并測試了由太陽能熱驅動的活性炭-甲醇制冰機。觀察到制冰機的性能系數(COP)為0.15。研究了ACF/甲醇和活性炭。他們表明活性炭/甲醇對的性能系數比活性炭/甲醇對高約10-20%。開發了吸附熱泵,活性炭纖維作為吸附劑,氨作為工作液。他們解釋了吸附材料的作用,其結合活性炭纖維和一些鹽對吸附能力的影響。活性炭纖維甲醇系統的完全吸附能力達到0.55kg甲醇/ kg 活性炭。介紹了使用低等級熱能源的活性炭四氟乙烷對基于兩級熱壓吸附制冷的數學模型。它為該系統產生了0.16的COP。此外,他們還表明,該系統在另一項研究達到小于0.04的低COP在0.93?C驅動源溫度。
實驗過程的目的是獲得與活性炭/ 四氟乙烷對的平衡吸附能力有關的吸附特性。這些特性很重要,因為它們定義了理想循環的熱力學運算,因此設定了與性能和系統尺寸有關的限制。在吸附過程之前,將活性炭置于烘箱中12小時??鞠錅囟缺3趾愣ㄔ?45?C。在開始吸附試驗之前,使用真空泵將床抽真空至0.05巴。6小時內使用96℃的熱水循環加熱床,真空過程仍在運行。已經發生真空過程以從床中取出任何氣體和水分。
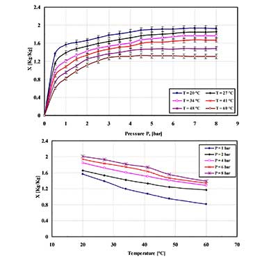
眾所周知,活性炭的吸附冷卻潛能由最大吸附容量和吸附和解吸速率等因素決定。這些參數是床的重量,溫度和壓力,每90秒測量一次。圖2顯示了活性炭/ 四氟乙烷對在六個不同溫度下的相對壓力的吸附能力的實驗結果。從可以看出 圖2,溫度20?C的平衡吸附容量遠大于其他溫度。在20℃吸附溫度下,最大吸附容量達到1.92 kg / kg,間隔時間為1200 s。該圖顯示吸附能力在前110秒迅速上升,然后進展緩慢,隨著相對壓力接近,吸附能力接近極限值。該順序對應于起始過程中床中較低的真空壓力。

圖2顯示了對應于四氟乙烷的飽和溫度的1,2,4,6和8的四種不同壓力下的等壓吸附活性炭/四氟乙烷。觀察到等壓吸附是低溫下的最大值,隨溫度的升高而降低。結果 其中四氟乙烷的吸附特性和吸附熱量測量活性炭表明,主要由具有不同寬度的微孔活性炭快速吸附到高能量的位置和四氟乙烷上,隨著吸附進程,分子吸附到能量減少的部位。
本期實驗研究了四氟乙烷對活性炭吸附/解吸過程的吸附能力(X)。床被設計和建造與翅片管熱交換器,以增加傳熱面積。實驗在20℃至60℃的溫度范圍內進行,壓力達10巴。數據與方程對應的吸附/脫附過程相關。將結果與其他研究人員的結果進行比較。
主要突出點可歸納如下:
1、活性炭吸附量隨吸附過程開始時相對壓力的增加而迅速增加。
2、1200s后,20℃時活性炭達到最大吸附容量吸收量為1.92 kg / kg。
3、活性炭隨著吸附溫度升高60℃,吸附量最大值降至1.31 kg / kg。
4、與其他研究相比,活性炭最大吸附量增加約9.62%,因為25℃時床的傳熱面積增加。
5、活性炭吸附等溫吸附量為120?340 kJ / kg,吸附容量范圍為0.2?1.8 kg / kg。
四氟乙烷在活性炭上的精確吸附等溫線和吸附熱量數據對于基于各種配對的熱驅壓床吸附式制冷機的設計至關重要。
溫馨提示:任何網站、媒體轉載本站原創文章則一定要寫明文章出處為:韓研活性炭網(www.hd776.cn),違者追究其法律責任。最終解釋權歸廣東韓研活性炭網所有,如有疑問請與我站編輯部的聯系,電話:020-39972520。
- [ 2023-01-29 ]活性炭吸附作用怎么來的
- [ 2023-01-22 ]怎么選擇木質粉狀活性炭廠家
- [ 2023-01-21 ]廢氣處理蜂窩活性炭怎么用
- [ 2023-01-20 ]木質柱狀活性炭有什么優勢
- [ 2023-01-19 ]制氮機用活性炭規格參數
- [ 2023-01-18 ]活性炭吸附次氯酸鈉
- [ 2023-01-17 ]去余氯活性炭的去除原理
- [ 2023-01-16 ]活性炭用于黃金回收-黃金炭
- [ 2023-01-15 ]活性炭復合泡沫材料
- [ 2018-12-18 ]活性炭負載氧化鐵對辛醇的氧化
主營:活性炭;椰殼活性炭;煤質活性炭;木質活性炭;果殼活性炭;蜂窩活性炭;活性炭纖維;凈水活性炭;水處理材料;空氣凈化材料.
FAQ熱門推薦
- 1、椰殼凈水活性炭哪家好?
- 2、椰殼凈水活性炭多少錢?
- 3、果殼活性炭多少錢?
- 4、購買凈水活性炭,找凈水活性炭…
- 5、果殼活性炭什么牌子好?
- 6、木質粉狀活性炭哪家好?
- 7、木質粉狀活性炭什么牌子好?
- 8、木質粉狀活性炭多少錢?
- 9、活性炭的作用幾小時生效?
- 10、蜂窩活性炭哪家好?



